문제
다음 글을 근거로 판단할 때, <보기>에서 옳은 것만을 모두 고르면?
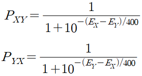
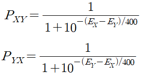
| 엘로 평점 시스템(Elo Rating System)은 체스 등 일대일 방식의 종목에서 선수들의 실력을 표현하는 방법으로 물리학자 아르파드 엘로(Arpad Elo)가 고안했다. 임의의 두 선수 X, Y의 엘로 점수를 각각 EX, EY라 하고 X가 Y에게 승리할 확률을 PXY, Y가 X에게 승리할 확률을 PYX라고 하면, 각 선수가 승리할 확률은 다음 식과 같이 계산된다. 무승부는 고려하지 않으므로 두 선수가 승리할 확률의 합은 항상 1이 된다. ![]() 두 선수의 엘로 점수가 같다면, 각 선수가 승리할 확률은 0.5로 같다. 만약 한 선수가 다른 선수보다 엘로 점수가 200점 높다면, 그 선수가 승리할 확률은 약 0.76이 된다. 경기 결과에 따라 각 선수의 엘로 점수는 변화한다. 경기에서 승리한 선수는 그 경기에서 패배할 확률에 K를 곱한 만큼 점수를 얻고, 경기에서 패배한 선수는 그 경기에서 승리할 확률에 K를 곱한 만큼 점수를 잃는다(K는 상수로, 보통 32를 사용한다). 승리할 확률이 높은 경기보다 승리할 확률이 낮은 경기에서 승리했을 경우 더 많은 점수를 얻는다. |
<보 기>
| ㄱ. 경기에서 승리한 선수가 얻는 엘로 점수와 그 경기에서 패배한 선수가 잃는 엘로 점수는 다를 수 있다. ㄴ. K=32라면, 한 경기에서 아무리 강한 상대에게 승리해도 얻을 수 있는 엘로 점수는 32점 이하이다. ㄷ. A가 B에게 패배할 확률이 0.1이라면, A와 B의 엘로 점수 차이는 400점 이상이다. ㄹ. A가 B에게 승리할 확률이 0.8, B가 C에게 승리할 확률이 0.8이라면, A가 C에게 승리할 확률은 0.9 이상이다. |
① ㄱ, ㄴ
② ㄴ, ㄹ
③ ㄱ, ㄴ, ㄷ
④ ㄱ, ㄷ, ㄹ
⑤ ㄴ, ㄷ, ㄹ
ㄱ. (X) 정의상 승리한 선수의 패배할 확률과 패배한 선수의 승리할 확률은 같으므로 경기에서 승리한 선수가 얻는 엘로 점수와 패배한 선수가 잃는 엘로 점수는 같다.
ㄴ. (O) 너무 강한 상대라서 만약 이길 확률이 0에 수렴한다면 (반대로 질 확률이 1에 수렴한다면) 그 상대를 이겼을 때 얻게 되는 엘로 점수는 1 x K이므로 K = 32일 때 엘로 점수는 32점이고 이 점수가 얻을 수 있는 최대 점수이다. 따라서 얻을 수 있는 엘로 점수는 32점 이하이다.
ㄷ. (X) A가 B에게 패배할 확률이 0.1이라면 승리할 확률은 0.9이다. 만약 A와 B의 엘로 점수의 차이가 400점이라면 EA - EB = 400이다. 이를 PAB 에 대입해보면,

이다. 즉, 엘로 점수의 차가 400점일 때, A가 B에게 승리할 확률은 0.9보다 커야 하므로, 만약 승리할 확률이 0.9밖에 안 된다면 엘로 점수의 차는 400점보다 적어야 한다.
ㄹ. (O) 지문에서 주어진 바에 따르면, 엘로 점수가 200점 차이일 때 승리 확률은 0.76이다. 만약 승리 확률이 0.8이라면 엘로 점수의 차를 정확한 값으로 구하기는 쉽지 않지만 적어도 200점보다는 크다는 것을 알 수 있다.
따라서 A가 B에게 승리할 확률이 0.8이라면 A와 B의 엘로 점수의 차이인 EA - EB 는 200보다 크고, B가 C에게 승리할 확률이 0.8이라면 B와 C의 엘로 점수의 차이인 EB - EC 또한 200보다 크다. 이를 정리하면, EA - EC 가 400보다 크다. 앞서 선지 ㄷ에서 구했듯이 엘로 점수의 차가 400점일 때 승리확률은 0.9보다 크다는 것을 알 수 있었으므로(승리 확률 10/11), 엘로 점수의 차가 400점보다 크다면 승리확률은 0.9보다 당연히 크다고 할 수 있다.
'5급·7급 민간경력자 > 2018년 가책형' 카테고리의 다른 글
| [18민(가)-25해] 2018년 5급/7급 민간경력자(민경채) PSAT 상황판단 가책형 25번 해설 (0) | 2021.08.09 |
|---|---|
| [18민(가)-25] 2018년 5급/7급 민간경력자(민경채) PSAT 상황판단 가책형 25번 (0) | 2021.08.09 |
| [18민(가)-24] 2018년 5급/7급 민간경력자(민경채) PSAT 상황판단 가책형 24번 (0) | 2021.08.09 |
| [18민(가)-23해] 2018년 5급/7급 민간경력자(민경채) PSAT 상황판단 가책형 23번 해설 (0) | 2021.08.09 |
| [18민(가)-23] 2018년 5급/7급 민간경력자(민경채) PSAT 상황판단 가책형 23번 (0) | 2021.08.09 |
| [18민(가)-22해] 2018년 5급/7급 민간경력자(민경채) PSAT 상황판단 가책형 22번 해설 (0) | 2021.08.09 |
| [18민(가)-22] 2018년 5급/7급 민간경력자(민경채) PSAT 상황판단 가책형 22번 (0) | 2021.08.09 |
| [18민(가)-21해] 2018년 5급/7급 민간경력자(민경채) PSAT 상황판단 가책형 21번 해설 (0) | 2021.08.09 |


댓글